Gerecht abrechnen bei Eigenverbrauch
Smart Meter und Abrechnungsmodelle
Heutige Zähler zeigen nur die kumulierte Energie an und erlauben so nur eine pauschale Abrechnung. Von dieser profitieren Verbraucher mit niedrigem Solarstromverbrauch – auf Kosten der anderen. Smart Meter, die den Lastgang messen, ermöglichen eine gerechtere Abrechnung. Dazu muss aber das Abrechnungsmodell des BFE optimiert werden.
Der Solarstrom einer PV-Anlage darf in der gleichen oder einer angrenzenden Liegenschaft direkt verbraucht werden – der Überschuss an Solarstrom wird ins Netz eingespeist und der Fehlbetrag wird vom Netz bezogen. Zur Abrechnung bilden der Produzent und die Verbraucher einen Zusammenschluss zum Eigenverbrauch (ZEV). Wenn der Hauseigentümer den Solarstrom an Mieter verkauft, schreibt die Energieverordnung das Abrechnungsmodell des ZEV und eine umständliche Abrechnung vor. Die Verteilnetzbetreiber verwenden dazu einfachere «Praxismodelle». Das Problem besteht darin, dass heutige Stromzähler, die nur die kumulierte Energie anzeigen, nur eine pauschale Abrechnung ermöglichen, von der Verbraucher profitieren, die wenig Solarstrom beziehen. Eine gerechtere Abrechnung ermöglichen Smart Meters, im Gesetz [1] intelligente Messsysteme (IMS) genannt, die den Lastgang (Energieverbrauch pro Viertelstunde) messen. Da werden die Abrechnungsmodelle durch ein Marktmodell ersetzt. Zu diesem Zweck sollte das Abrechnungsmodell des BFE verbessert werden.
Ausgangslage
Solarstrom lässt sich in der Schweiz nur mit der Eigenversorgung wirtschaftlich produzieren, denn die Kostendeckende Einspeisevergütung (KEV) läuft aus. Dank den sinkenden Modulkosten und der Einmaligen Investitionsvergütung (EIV) liegen die Gestehungskosten des Solarstroms (ca. 12 Rp/kWh) unter den Tarifen des Netzstroms (ca. 20 Rp/kWh), denn Letztere enthalten Netzabgaben.
Die Abrechnung berücksichtigt die unterschiedlichen Tarife des Solarstroms, des bezogenen Stroms und des eingespeisten Stroms auf der Basis von geeichten Zählern. Sie geschieht über die bereits installierten (unidirektionalen) Verbraucherzähler und den (bidirektionalen) Eigenverbrauchszähler (EVZ), der den Strom zwischen Haus und Netz misst und die einzige Schnittstelle zum Verteilnetz bildet (Bild 1).
Der Solarstrom muss hingegen nicht gemessen werden, denn er ergibt sich aus der Summe des verbrauchten Stroms (Summe aller Verbrauchszähler) und des ins Netz eingespeisten Stroms minus den bezogenen Strom. Damit sind auch die Verluste berücksichtigt.
Die Zähler unterscheiden zwar Hoch- und Niedertarif, können aber nicht unterscheiden, ob sie Solar- oder Netzstrom messen. Folglich werden Verbraucher abgerechnet, als wären sie am Verteilnetz: nach einem fixen Grundtarif und einem verbrauchsabhängigen Hoch- und Niedertarif.
Grundtarif und Stromtarife sind jedoch nicht identisch mit denen des Verteilnetzbetreibers. Sie sind zum Teil vom Gesetz vorgegeben, obwohl verschiedene Verteilnetzbetreiber nach einem «Praxismodell» abrechnen. Beide werden hier erläutert.
Das Abrechnungsmodell des Bundes
Die Energieverordnung (EnV) [2] schreibt eine komplexe Abrechnung vor. Sie geht von einem speziellen Fall aus, in dem der Eigentümer der Solaranlage gleichzeitig der Grundstückeigentümer ist und die Verbraucher seine Mieter sind. Sie berücksichtigt keine Fälle, wo die Verbraucher Miteigentümer sind oder auf einem anderen Grundstück wohnen oder solche, wo die Solaranlage im Besitz der Mieter oder einer Drittfirma ist. Deshalb ist das Modell des BFE zu hinterfragen, denn die Energiewende wird nur gelingen, wenn auch Mietshäuser zu rentablen Stromproduzenten werden.
Die EnV §16.3 schreibt vor, dass Mieter oder Pächter in einem Zusammenschluss zum Eigenverbrauch (ZEV) für ihren Strom nicht mehr zahlen dürfen, als die Kosten des externen Standardstromprodukts betragen würden, wenn die Mieterinnen und Mieter nicht Teil des Zusammenschlusses wären.
Darüber hinaus verschärft die EnV das Mietrecht (OR Art 269 III):
Sind die internen Kosten tiefer als die Kosten dieses externen Standardstromprodukts, so sind den Mieterinnen und Mietern zusätzlich höchstens die Hälfte der erzielten Einsparung in Rechnung zu stellen.
Der Leitfaden Eigenverbrauch [3], der zwar nicht Bestandteil des Gesetzes ist, aber dennoch massgebend in Streitfällen ist, erläutert die Faktoren:
Die «internen Kosten» werden basierend auf den «Gestehungskosten» berechnet (Kapital-, Unterhaltskosten, Ertrag des eingespeisten Stroms umgerechnet auf den Eigenverbrauch), plus Fixkosten für die Verwaltung. Diese Kosten variieren von Quartal zu Quartal.
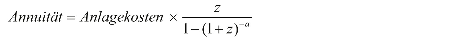
Die Kapitalkosten werden als Annuität der Anfangsinvestition mit einem «marktüblichen» Zinssatz z, der höchstens 0,5% höher als der Referenzzinssatz liegen darf, auf die Dauer a von 25 Jahren berechnet, was der Lebenszeit einer Solaranlage entspricht. Das Bundesamt für Wohnungswesen passt den Referenzzinssatz jedes Quartal an (im 2020Q1 = 1,25%). Dazu wird die Annuitätsformel aus [4] verwendet:
Beispiel: (z = 1,75%, a = 25 Jahre, Anlagekosten nach Abzug der einmaligen Investitionsvergütung 38’000 CHF); jährliche Kapitalkosten = 1890 CHF.
Die Kosten für Betrieb und Unterhalt werden, wenn nicht ausweisbar, als Pauschale von 3 bis 4 Rp/kWh [3] auf den selbstverbrauchten Solarstrom addiert.
Der Erlös aus dem eingespeisten Strom wird brutto abgezogen.
Das Resultat wird dividiert durch den Anteil des Stroms, der direkt von allen Mietern verbraucht wird. Daraus ergeben sich die Gestehungskosten des Solarstroms, z. B. 16 Rp/kWh. Zu diesen darf der Anlagenbetreiber die Fixkosten der Verwaltung, Zählerablesen und Abrechnung addieren, in Abhängigkeit des Gesamtstromverbrauchs.
Beispiel: 500 CHF und 50’000 kWh ergibt 1,0 Rp/kWh. Daraus ergeben sich die «internen Kosten inkl. Stromnebenkosten» von 17 Rp/kW.
Der «mittlere Preis des Stroms», den Mieter bei direktem Bezug vom Verteilnetz bezahlen würden, variiert von Mieter zu Mieter, weil der Verteilnetzbetreiber Fixkosten (Grundgebühren, Anschlussgebühren) abrechnet. Die Fixkosten machen bei sparsamen Verbrauchern etwa einen Viertel der Stromkosten aus.
Der (nicht gesetzliche) Tarifrechner von HEV/Swissolar [5] ermittelt den mittleren Preis des Stroms als eine Mischrechnung von Hoch- und Niedertarif: 11/14 × Hochtarif + 3/14 × Niedertarif + Fixkosten/Mieterstromverbrauch. Dazu werden die Fixkosten (verbrauchsabhängig) addiert, umgerechnet auf den einzelnen Verbrauch. Beispiel: 11/14 × 20 Rp/kWh + 3/14 × 11 Rp/kWh + 160 Fr/3000 kWh = 18,3 Rp/kWh.
Liegt die Bezugspauschale höher als die internen Kosten, wird der Mittelwert genommen. Beispiel: interne Kosten = 17 Rp/kWh, Netzbezugskosten = 18 Rp/kWh, Mieterkosten = 17,5 Rp/kWh. Diese Rechnung wird für jeden Mieter wiederholt und quartalsweise angepasst.
Schwächen des Bundesmodells
Das Modell des Bundes überfordert die EDV-Abrechnungssysteme vieler Netzbetreiber, denn es unterscheidet nicht, ob der Verbraucher Mieter oder Miteigentümer ist. Die Zähler hingegen unterscheiden nicht zwischen Stockwerkeigentümern, Mietern und gemeinsamen Verbrauchern (Garage, Waschküche, Aufzug, Beleuchtung ...). Typisch fliessen 40% des Verbrauchs eines Mehrfamilienhauses mit 12 Wohnungen über Gemeinschaftszähler.
Da die Fixkosten auf den Verbrauch abgewälzt werden, bezahlen sparsame Verbraucher mehr pro kWh.
Hoch- und Niedertarif werden nicht mehr unterschieden, das Verhältnis hängt aber vom Verbraucher ab (z. B. Rentner oder Pendler).
Der ZEV muss jedes Quartal eine neue Schätzung der Tarife liefern, da dies nicht in der Verantwortung des Verteilnetzbetreibers liegt.
In den Quartalen Q1 und Q4 sind die Gestehungskosten höher als die Netzbezugskosten. Da die Mieter aber nicht mehr als die Netzbezugskosten zahlen dürfen, verlieren die Betreiber in diesen zwei Quartalen.
Der Betreiber profitiert kaum von höheren Einspeisetarifen, denn er muss den Vorteil zur Hälfte mit den Mietern teilen.
Wenn der Betreiber den Eigenverbrauch mit einer Batterie erhöhen will, werden die höheren Kapitalkosten nicht kompensiert, denn die Mieter beteiligen sich nicht daran.
Rechtlich ist die EnV umstritten, denn in keinem anderen Gewerbe wird der Verkäufer gezwungen, die Hälfte der Ersparnisse dem Käufer zu überlassen. Hier verschärft das BFE den Mieterschutzartikel 269 des Obligationenrechts.
Die Abrechnung lässt zudem die Frage offen, welcher Tarif in einem völlig liberalisierten Markt gilt, wenn die Mieter als Mitglieder des ZEV nicht daran teilnehmen können. Das Verfahren wird gänzlich unübersichtlich, wenn Verbraucher mit Lastgangzählern für den Verbrauch von Solarstrom belohnt werden sollen, wie weiter erläutert wird. Und schliesslich schreckt das Modell Mietshauseigentümer ab, Solaranlagen zu installieren, denn eine Rendite der Anlagen über 25 Jahre ohne Provisionen ist unattraktiv.
Praxismodell der Netzbetreiber
Es ist verständlich, dass Verteilnetzbetreiber einfachere Modelle einsetzen, wenn sie gleichzeitig die Abrechnungsstelle sind. Ein Praxismodell, das sich in Baden (Aargau) bewährt hat, sieht vor, dass die Zähler eines ZEV abgerechnet werden, wie wenn die Verbraucher am Verteilnetz angeschlossen wären, also nach dem gleichem Hoch- und Niedertarif wie Verbraucher, die nicht Teil eines ZEV sind.
Um die EnV zu erfüllen, wird jedem ZEV-Verbraucher ein Viertel der Fixkosten erlassen. Somit bezahlen alle Verbraucher (nicht nur Mieter) weniger als bei einem direkten Anschluss ans Netz, sparsame Verbraucher werden belohnt und die Abrechnung ist problemlos. Ein Vergleich beider Abrechnungen zeigte, dass der Unterschied im Endpreis vernachlässigbar ist.
Lastgangzähler-Abrechnung
Ferraris-Zähler bzw. deren elektronische Pendants messen nur die kumulierte Energie und erlauben keine faire Abrechnung: Alle Verbraucher bekommen einen billigeren Strom, ob sie Solarstrom konsumieren oder nicht. Letztlich würde sich ein ZEV sogar ohne PV-Anlage lohnen, weil die Anschlussgebühren kleiner sind. Das ist aber nicht im Sinne der Energiestrategie.
Die Stromversorgungsverordnung (StromVV) [6] verlangt, dass bis 2027 80% der Zähler Lastgangzähler sein müssen. Obwohl Lastgangzähler für Eigenversorgungsgemeinschaften nicht vorgeschrieben sind, erlauben sie eine gerechtere Abrechnung.
Bild 2 zeigt als Beispiel einen ZEV mit mehreren Verbrauchertypen: ein Geschäft, eine typische Familie, eine Pendlerin. Der bezogene Strom im Hochtarif ist rot, der bezogene Strom im Niedertarif ist rosa, der Solarstrom ist gelb und der eingespeiste Strom grün.
Der Lastgangzähler erlaubt es, den Stromtarif pro Viertelstunde festzulegen, und zwar auch nachträglich. Es gibt also keine Hoch- und Niedertarife mehr, es gibt nur einen Bezugstarif, der viertelstündlich beliebig ändern kann (und auch negativ werden kann), und einen festen Solartarif.
Der Schlüssel ist der Bezugsstromanteil b, also der Anteil des Stroms auf der Sammelschiene, der vom Netz bezogen wird, im Verhältnis zum gesamten verbrauchten Strom im Zeitintervall T (hier eine Viertelstunde). Für den Verbraucher i wird in jedem Zeitintervall T der Preis ermittelt, und zwar als:
Kosten (i) = Verbrauch (i) × {Bezugstarif × b + Solartarif × (1 – b)}
Diese Rechnung berücksichtigt den eingespeisten Strom nicht, denn dieser hat einen anderen Kunden, nämlich den Verteilnetzbetreiber.
Für die Erfüllung der EnV genügt es, wenn der Solartarif gleich dem Bezugstarif ist. Damit Verbraucher mehr Solarstrom verbrauchen, muss der Solartarif wesentlich billiger sein als der Bezugstarif. Dann werden sie dazu motiviert, ihre E-Autos zu laden oder die Waschmaschine anzustellen, wenn die Sonne scheint. Es empfiehlt sich daher, die momentane Solarproduktion gut sichtbar für alle Verbraucher anzuzeigen.
Dieses Abrechnungsmodell gilt auch für ZEV, die aus mehreren Solarstromproduzenten und Konsumenten in benachbarten Gebäuden besteht. Hier wird das Abrechnungsmodell des Bundes überflüssig. Der ZEV-Betreiber muss lediglich der Abrechnungsstelle mitteilen, wie hoch der Solartarif ist. Der Markt regelt hier die Preise. Ein kleiner Nachteil der Abrechnung mit Lastgangzählern ist, dass Miteigentümer, die wenig Solarstrom verbrauchen, eine längere Abschreibungszeit annehmen müssen, denn sie investieren in die Anlage unabhängig von ihrem Verbrauch.
Flexibilität und Aussichten
In der Eile, die Lastgangzähler als Türöffner für die Deregulierung des Marktes einzuführen, wurde vergessen, dass ein Markt mit aktuellen Preisen funktioniert. Die IMS übermitteln die Messwerte zur Abrechnungsstelle aber nur einmal täglich. Es nützt dabei leider nichts, zu wissen, man hätte gescheiter am Vortag die Wärmepumpe gestartet.
Zwar schreibt die StromVV vor, dass ein IMS über eine Kundenschnittstelle (CII) verfügen muss, die die Messwerte alle paar Sekunden übermittelt. Daraus kann das Energiemanagement herleiten, ob Strom bezogen oder eingespeist wird. Leider fehlt eine Spezifikation der CII, so dass für jeden Hersteller und jedes Zählermodell eine andere Software gebraucht wird.
Von IMS wird aber leider keine Flexibilität verlangt, d. h. Lasten können nicht automatisch eingeschaltet werden, wenn der Strompreis günstig wird, weil der Eigenverbrauchszähler keine Preissignale weitergibt. Die «Hochtarif/Niedertarif-Kontakte» sind in einem deregulierten Markt mit gleitenden Tarifen unzureichend.
Es bleibt zu hoffen, dass die Revision der EnV und der StromVV eine einfache Abrechnung mit intelligenten Messsystemen ermöglichen wird.